TCTC (2017) so 7 ky 2 (nen) - page 30

30
THỊ TRƯỜNG TÀI CHÍNH
các cổ đông, nhà đầu tư và giám sát của thị trường.
Với mô hình, các NHTM sẽ có cách đánh giá khách
quan hơn về những rủi ro có thể xảy đến, từ đó kịp
thời đưa ra những hạn biện pháp hạn chế sự phát
sinh nợ xấu. Ngoài ra, cơ chế kiểm soát kép cũng
đòi hỏi bản thân các NHTM không ngừng nâng cao
chất lượng công tác kiểm tra, kiểm toán nội bộ, đảm
bảo các báo cáo tài chính được minh bạch rõ ràng,
tăng cường hiệu quả quản trị rủi ro và hiệu quả hoạt
động của ngân hàng.
Tăng cường quản trị rủi ro tín dụng
đối với doanh nghiệp tại ngân hàng thương mại
Để đạt hiệu quả cao trong hoạt động quản trị
RRTD đối với DN tại các NHTM qua phân tích trên
có thể kể đến một số giải pháp sau:
Một là,
phân tán RRTD đối với DN bằng đa dạng
hóa danh mục cho vay: Các NHTM có quy mô nhỏ
không nên tập trung các khoản cho vay với một số
đối tượng như DNNVV hay các lĩnh vực rủi ro như
bất động sản, chứng khoán mà nên đa dạng hóa
danh mục cho vay. Đa dạng hóa danh mục cho vay
có thể thực hiện thông qua việc tăng các chi nhánh
ngân hàng, cho phép tăng liên kết ngân hàng. Đồng
thời, đề ra mức tăng trưởng tín dụng hợp lý và cơ
cấu lại các thời hạn vay để giảm RRTD đối với DN.
Ngân hàng nên chia nguồn tiền của mình vào nhiều
loại hình đầu tư tín dụng, nhiều ngành nghề khác
nhau cũng như nhiều DN ở những địa bàn khác
nhau, qua đó vừa mở rộng được phạm vi hoạt động
tín dụng của ngân hàng, vừa đạt được mục đích
phân tán rủi ro.
Hai là,
xây dựng văn hóa quản trị RRTD đối với
DN: Để hạn chế rủi ro thì văn hóa quản trị rủi ro
thống nhất và xuyên suốt trong hoạt động của các
NHTM là vô cùng cần thiết. Xây dựng văn hóa ngân
hàng không thể làm trong một thời gian ngắn mà là
một quá trình thực hiện nghiêm túc, bền bỉ, từ cấp
trên xuống cấp dưới, từ thế hệ người lao động này
sang thế hệ người lao động khác, có tính kế thừa. Văn
hoá quản trị rủi ro của mỗi ngân hàng có những đặc
trưng riêng và luôn được bổ sung, hoàn thiện, tuân
thủ những nguyên tắc nhất định: Tuân thủ quy trình,
quy định văn bản pháp luật và của ngân hàng; Ý thức
phòng ngừa rủi ro và giảm thiểu rủi ro là việc phải
làm thường xuyên, liên tục, mọi nơi, mọi lúc...
Ba là,
xây dựng cơ sở dữ liệu và thông tin về
RRTD đối với DN, từng bước hoàn thiện quy trình
tín dụng: Các ứng dụng của công nghệ thông tin, cụ
thể là công cụ khai phá dữ liệu ứng dụng trong lĩnh
vực quản trị RRTD đối với DN được triển khai góp
phần quan trọng trong công tác quản trị RRTD đối
dụng ở bất cứ chi nhánh nào cũng được hưởng lợi
các sản phẩm tín dụng như nhau. Đồng thời, các cá
nhân, đơn vị được quyền chủ động thực hiện thông
qua việc phân cấp, ủy quyền của Hội đồng quản trị,
Tổng giám đốc và các cấp có thẩm quyền trên cơ sở
phù hợp với môi trường, chất lượng hoạt động, xếp
hạng tín dụng của từng đơn vị và năng lực, trình
độ, kinh nghiệm quản lý của người được ủy quyền.
- Quản lý RRTD đối với DN đã dần theo hướng áp
dụng thông lệ quốc tế:
Theo chủ trương của Chính
phủ về việc ứng dụng Hiệp ước quốc tế Basel trong
hệ thống NHTM Việt Nam (Quyết định số 112/2006/
QĐ-TTg ngày 24/5/2006 của Thủ tướng Chính phủ
ban hành về việc phê duyệt đề án phát triển Ngân
hàng Việt Nam đến năm 2010 và định hướng đến
năm 2020), đến hết năm 2016, Việt Nam thực hiện
áp dụng hoàn chỉnh các chuẩn mực quốc tế Basel I
và dần dần việc ứng dụng Basel II, Basel III.
- Xây dựng và áp dụng hệ thống xếp hạng t n dụng
nội bộ trong hoạt động đo lường rủi ro:
Hiện nay, hầu
hết các NHTM đã xây dựng xong hệ thống xếp hạng
tín dụng nội bộ. Trong đó, phương pháp chấm điểm
trong hệ thống xếp hạng tín dụng nội bộ của BIDV,
VCB, Vietinbank là phương pháp rất phổ biến trên
thế giới, được các tổ chức định hạng quốc tế như
S&P, Moody’s... sử dụng. Việc xếp hạng khách hàng
được thực hiện thông qua việc chấm điểm một bộ
các chỉ tiêu liên quan đến tình hình tài chính và
hoạt động sản xuất kinh doanh của khách hàng. Hệ
thống xếp hạng tín dụng của các ngân hàng này đã
sử dụng chỉ tiêu tài chính và chỉ tiêu phi tài chính,
được phân tổ đến theo từng cấp. Các chỉ tiêu này có
mối quan hệ với nhau, bổ sung lẫn nhau và được
lượng hóa tối đa nhằm giảm thiểu các sai sót chủ
quan của người đánh giá...
- Hoạt động kiểm tra, kiểm soát được tăng cường:
Các
NHTM hiện đang có xu hướng thay đổi mô hình
kiểm soát của mình, từ mô hình kiểm soát đơn sang
mô hình kiểm soát kép, với sự tham gia giám sát của
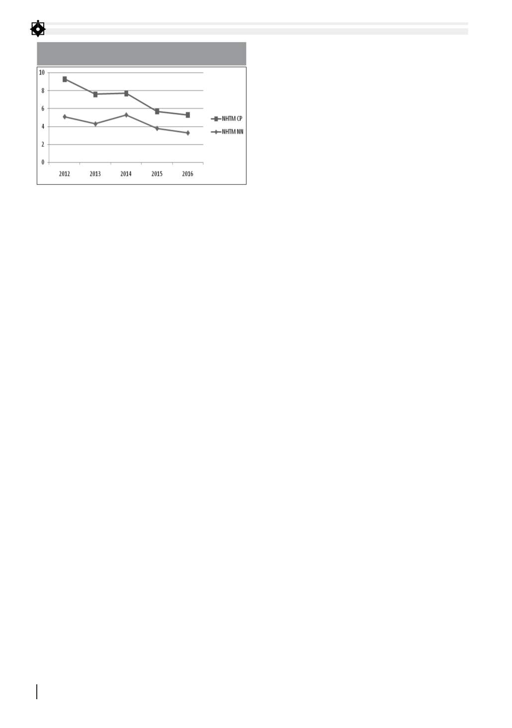
HÌNH 1. TỶ LỆ NỢ XẤU CHO VAY DN
TẠI CÁC NHTM GIAI ĐOẠN 2012-2016 (%)
Nguồn: NHNN
1...,20,21,22,23,24,25,26,27,28,29 31,32,33,34,35,36,37,38,39,40,...86
Powered by FlippingBook